the Big Bang

The Big Bang

From: National Geographic (A general overview)

How old is the universe, and how did it begin? Throughout history, countless myths and scientific theories have tried to explain the universe's origins. The most widely accepted explanation is the big bang theory. Learn about the explosion that started it all and how the universe grew from the size of an atom to encompass everything in existence today.

The Big Bang Theory, no not the television series, but the theory of how the universe as we know it developed. It is a result of observations, modeled using Einstein’s gravitational model and an understanding of quantum physics. So far, even though there are some difficulties, the Big Bang Theory remains consistent (as of September 2022) with the observations and is widely accepted through the cosmological community.

Skepticism

There is opposition and plenty of skepticism though. It is said that it violates the first law of thermodynamics (you can't create or destroy matter or energy). This would be absolutely accurate if the theory of the big bang claimed the universe began out of nothing. This critique is unwarranted for two reasons; the big bang doesn't address the creation of the universe, only up to one Planck time unit after that, it talks about the evolution of the universe and since the laws of science break down as you approach the beginning of the universe as we know it the there is no reason to consider that the first law of thermodynamics would apply to a universe smaller than one Planck length. Hey, the Large Hadron Collider can’t make that level of energy density, yet.

Dr Brian Keating: The Big Bang model is one of the most spectacularly successful paradigms in all of science. We have robust evidence for a dense, hot, early phase of the universe, ranging from the origin of matter to the existence of the Cosmic Microwave Background radiation that I study. But how did the Big Bang itself happen? Why does the Universe have the peculiar features that it does?

The answer, according to many cosmologists, lies in the theory of Inflation. I've pointed out some uncomfortable consequences of inflation, such as the Multiverse, in previous videos. But today's video does a deep dive into Inflation's many successes and points out ways it solves several problems in the Big Bang Model.

An inflation crash course!

Formation of stars and galaxies violates the law of entropy (the universe’s systems of change become less organized over time). But if you view the early universe as completely homogeneous and isotropic, then the current universe shows signs of obeying the law of entropy. It started with an entropy of zero and continuously the number only goes up overall.

There are those who argue that scientists have misinterpreted or misunderstood evidence like the redshift of the stars and the information from COBE (cosmic microwave background radiation). Some cite the absence of exotic cosmic bodies that should have been the product of the big bang according to the theory. I need to look into this one.

It also seems that the inflationary period of the big bang, where the universe grew enormously seems to violate the speed of light limitation. Perhaps one is that at the start of the big bang, the theory of relativity didn't apply. As a result, there was no issue with traveling faster than the speed of light. Another related response is that space itself can expand faster than the speed of light, as space falls outside the domain of the theory of gravity.

How the Theory Came About



Let us look at how the big bang theory came about. Who came up with the idea anyway and on what basis? Georges Lemaître. In 1927, Lemaître published in Belgium a paper that provided a compelling solution to the equations of General Relativity for the case of an expanding universe. Just about one hundred years ago the universe was considered somewhat static until he came along. Most cosmologists considered that there was an ongoing star creation and destruction but considered that the overall universe was always the same. When Einstein came up with his theory of gravity and gave us the picture of an integrated space-time structure, he assumed that the universe was somewhat static. Unfortunately, with gravity eventually everything would collapse so he inserted the cosmological constant and used that to balance the galaxies against each other’s gravitational pull. This was an ad hoc method of inserting a variable to match what was believed to be true, a static universe, of which later he rescinded the idea admitting a mistake, a blunder, as he put it. Edwin Hubble, using the telescope at Mt. Wilson in California, had shown that the distant galaxies all appeared to be receding from us at speeds proportional to their distances adding evidence to support Georges Lemaître. Later on in the late nineties it was observed that not only are things moving away from each other, but they are accelerating. The accelerated expansion of the universe was discovered by two independent projects, the Supernova Cosmology Project and the High-Z Supernova Search Team. Onto the stage comes dark energy.

Einstein’s laws of gravity are basically modified Newton’s laws but understanding that the source of gravity is the warped space-time that happens when a clump of matter/energy, something with mass, is there but these laws and the laws of quantum physics remains a problem, there is a lack of a self-consistent theory of quantum gravity and no graviton discovered yet. It is not yet known how gravity can be unified with the three non-gravitational forces: strong, weak, and electromagnetic.

His theory predicts of black holes, and they are most certainly there. They predict that not even light can escape from them, and this has been observed. It also predicts gravitational lensing, where the bending of light results in multiple images of the same distant astronomical phenomenon and this has been observed. It also predicts gravitational waves, which have been observed directly by the physics collaboration LIGO and other observatories. In addition, general relativity is used as the base of cosmological models of an expanding universe.

The Big Bang was a poor selection for a name for this theory as there never really was a bang. It’s like there is an infinite amount of nothingness and the universe is expanding into it. When people thing of the words ‘Big Bang’ they probably conjure up an image of an explosion at a time and a place and this as the center of the universe expanding from that point. The universe doesn't have a center or more accurately, I suppose, the entire universe is its own center. The universe inflated everywhere at once and was a process happening over time. We know this because we see galaxies clusters and groups accelerating away from other galaxy clusters and groups and from the observations of the Cosmic Microwave Background Radiation, we see the heat that was left over from early times, and that heat uniformly fills the universe somewhat evenly.

The heat that we do see was produced at about 380,000 years after the expansion of the universe began 13.8 billion years ago. We know the time because of its redshift, its frequency. This heat covers the entire sky and fills the universe. It has been accurately mapped using a satellite from NASA and ESA called the Cosmic Background Explorer (COBE), the Wilkinson Microwave Anisotropy Probe (WMAP), and Planck. The universe at 380,000 after the big bang was extremely smooth, with only tiny ripples in temperature.

All these things, Lemaître, general relativity, black holes, Edwin Hubble and his red shift, they all fit into the expanding universe and the big bang. If everything is expanding is had to start somewhere!

James Webb Contribution

I know many people think that the James Webb Space Telescope (JWST) will give us more understanding of the beginning of the universe but COBE, WMAP, and Planck all saw further back than JWST can. JWST was designed to see a period of the universe's history that we have not seen yet before, the objects between the big bang and now, how they formed as the universe cooled down after inflation. The time these galaxies and their stars formed is perhaps hundreds of millions of years later than the one COBE, WMAP, and Planck were built to see.

What the JWST has observed recently does not contradict the big bang theory and for formation timeline of the universe but is does upset the current understanding of the formation of galaxies. Its observations actually confirm the current theory of the evolution of our universe.

How Fast Does it Expand?

Information gathered from Hubble shows that the universe is expanding at 73 kilometers per second per megaparsec (3,261,563.8 Light Years). Our nearest stellar neighbour is Proxima Centauri which is about 1.3 parsecs (4.2 light-years) away. A megaparsec is a million parsecs.

As reported in The Astrophysical Journal, researchers using the veteran space telescope have estimated that the expansion rate of the Universe is 73 kilometers per second per megaparsec plus or minus 1.

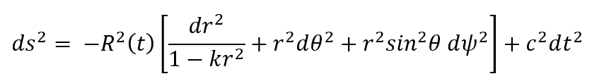
The Friedman-Lemaître-Robertson-Walker (FLRW) metric starts with the assumption of space being all the same everywhere (homogeneity) and having no differences in direction (isotropy) of space. The latter seems obvious but we must state the assumptions. It also assumes that the spatial component, the three dimensions we call space, of the metric can be time-dependent. The metric FLRW which rules the evolution of the universe in this model is expressed in the form:


Image from: Ovidiu Cristinel Stoica PhDResearcher at Horia Hulubei National Institute for R&D in Physics and Nuclear Engineering

where r, ϴ, and Ψ are the polar coordinates, R(t) the scale factor (positive), and k is +1, 0 or -1 for positive, zero (flat) or negative curvature, depending upon the geometry of the universe, t is time or dt the change in time and s is the distances between the galactic clusters or ds meaning the change in distances.

From: ENR (A little old but still valid)

Today, many of the world’s top physicists are embarking on this cosmic quest, whose far-reaching reverberations span our understanding of reality and the meaning of existence. It would be the crowning achievement of thousands of years of scientific investigation, since ancient civilizations also wondered how the universe was created and what it is made of. The ultimate goal of the theory of everything is to combine Einstein’s theory of relativity with the bizarre world of quantum theory.

In essence, the theory of relativity delves into the cosmos’s most massive phenomena: things like black holes and the birth of the universe. The domain of relativity is nothing less than the entire cosmos. Quantum theory, on the other hand, explores the behavior of matter on the most minuscule level. Its domain encompasses the tiniest particles of nature, those hidden deep inside the atom.

Comments

Popular posts from this blog

Consciousness

Causal Relationships